ALL IN ONE INNOVATIVE PRODUCT ผลิตภัณฑ์เสริมอาหาร SOLANOX
ในยุคที่มูลค่าตลาดอาหารเสริมทั่วโลกเพิ่มขึ้นอย่างต่อเนื่องด้วยอัตราการเติบโตเฉลี่ยต่อปีสูงถึง 10% โดยสินค้าประเภทวิตามินและผลิตภัณฑ์เสริมอาหาร เป็นตัวเร่งสนับสนุนทิศทางการเติบโต นอกจากนี้พฤติกรรมของผู้บริโภคที่หันมาใส่ใจสุขภาพ รวมไปถึงโครงสร้างสังคมของโลกที่เปลี่ยนเป็นสังคมผู้สูงอายุก็เป็นปัจจัยสนับสนุนการเติบโตให้ตลาดอาหารเสริมเช่นกัน

เหล่านี้ล้วนส่งผลให้มีการเติบโตอย่างก้าวกระโดด อย่างไรก็ตาม หากมองถึงอนาคตของตลาดกลุ่มนี้ ก็ต้องบอกว่า หัวใจสำคัญของการจะประสบความสำเร็จอย่างยั่งยืน คุณค่าของสินค้านั้นจะต้องมีการพัฒนานวัตกรรมร่วมกับการทำวิจัย พัฒนาผลิตภัณฑ์เสริมอาหารให้เทียบเคียงนวัตกรรมทางการแพทย์ให้ได้ โดยการพัฒนาแบบนี้ต้องอาศัยการทำงานของผู้วิจัยและพัฒนา (R&D) ที่มีศักยภาพ และต้องใช้เงินลงทุนจำนวนมาก เพื่อควบคุมคุณภาพให้อยู่ในเกณฑ์ที่กฎระเบียบด้านสุขภาพคุ้มครอง
บริษัท ยัง เอจ คอร์ปอเรชั่น จำกัด และ “เป้” ได้เล็งเห็นถึงความสำคัญนี้เช่นเดียวกัน อีกทั้งได้ขับเคลื่อนการพัฒนาผลิตภัณฑ์ในบริษัทให้เป็นไปอย่างก้าวหน้า และทันสมัยอยู่เสมอ เพื่อตอบโจทย์และเท่าทันความนิยมการบริโภคผลิตภัณฑ์เสริมอาหารของยุคนี้ ที่สภาวะแวดล้อมอาจไม่เอื้ออำนวยต่อการมีสุขภาพที่ดี ทำให้ร่างกายของคนเรามีความผิดปกติ ขาดสารอาหาร หรือมีสารพิษตกค้างในร่างกาย ก่อให้เกิดความเสื่อมของร่างกายที่เร็วขึ้น หรือแม้กระทั่งเซลล์ที่มีการกลายพันธุ์เกิดเป็นโรคร้ายต่าง ๆ ตามมา ผลิตภัณฑ์เสริมอาหารจึงเป็นส่วนหนึ่งที่ผู้คนหันมาให้ความใส่ใจอย่างมากต่อการดูแลระบบร่างกายภายในและภายนอก
ทั้งนี้ ความตั้งใจพัฒนาผลิตภัณฑ์ของบริษัทฯ จึงได้เล็งเห็นถึงความสำคัญต่อสารสกัดที่เลือกใช้ โดยสารสกัดจะต้องได้รับรางวัล มีงานวิจัยรับรอง มีความปลอดภัยสูง ปริมาณสารสกัดต้องอยู่ในปริมาณที่เห็นผลอย่างชัดเจน ผลิตภัณฑ์ต้องมีความปลอดภัยในการทานระยะยาว และไม่ก่อให้เกิดผลเสียต่อร่างกายในอนาคต
โดยที่ SOLANOX คือผลิตภัณฑ์เสริมอาหารที่ถูกพัฒนาขึ้นมาเพื่อตอบโจทย์การใช้ชีวิตของคนยุคปัจจุบันที่ต้องการความเปลี่ยนแปลงในเชิงสุขภาพที่ดีมากยิ่งขึ้น เป็นผลิตภัณฑ์ที่รวมสารสกัดจากธรรมชาติทั้งหมด 11 ตัว ในปริมาณโดสที่เห็นผลตามงานวิจัย ครบจบปัญหาผิว พร้อมทั้งดูแลสุขภาพแบบองค์รวม มีประสิทธิภาพฟื้นฟูและแก้ปัญหาความเสื่อมทั้ง 3 ระบบของร่างกาย (รีบูสต์ระบบผิว รีสตาร์ทระบบร่างกายสุขภาพภูมิคุ้มกัน และการรีเซตระบบเซลล์) ทำให้เห็นผลอย่างชัดเจน สะดวกต่อการบริโภคและพกพา ไม่จำเป็นต้องทานผลิตภัณฑ์เสริมอาหารหลาย ๆ ตัวอีกต่อไป

SOLANOX รับรองทั้งประสิทธิภาพและความปลอดภัย ด้วยผลลัพธ์จากเครื่อง VISIA Complexion Analysis System ที่นำเข้าจากประเทศสหรัฐอเมริกา ผ่านการรับรองมาตรฐานสากล เป็นเครื่องวิเคราะห์และประเมินสภาพผิวแบบเจาะลึกถึงปัญหาด้านผิวพรรณ ให้ผลทดสอบที่ดีอย่างมีนัยสำคัญ ใช้ทดสอบในแบรนด์ระดับโลกและโรงพยาบาลระดับประเทศต่าง ๆ การันตีผลลัพธ์ด้วยตัวเลขและงานวิจัยจากโครงการการทดสอบคุณสมบัติทางชีวภาพในเซลล์เพาะเลี้ยง โดยศาสตราจารย์ เภสัชกรหญิง ดร.พรอนงค์ อร่ามวิทย์ คณะเภสัชศาสตร์ จุฬาลงกรณ์มหาวิทยาลัย โดยทดสอบผลลัพธ์ทั้ง 5 เรื่อง จากคณะเภสัชศาสตร์ จุฬาลงกรณ์มหาวิทยาลัย ประกอบด้วย
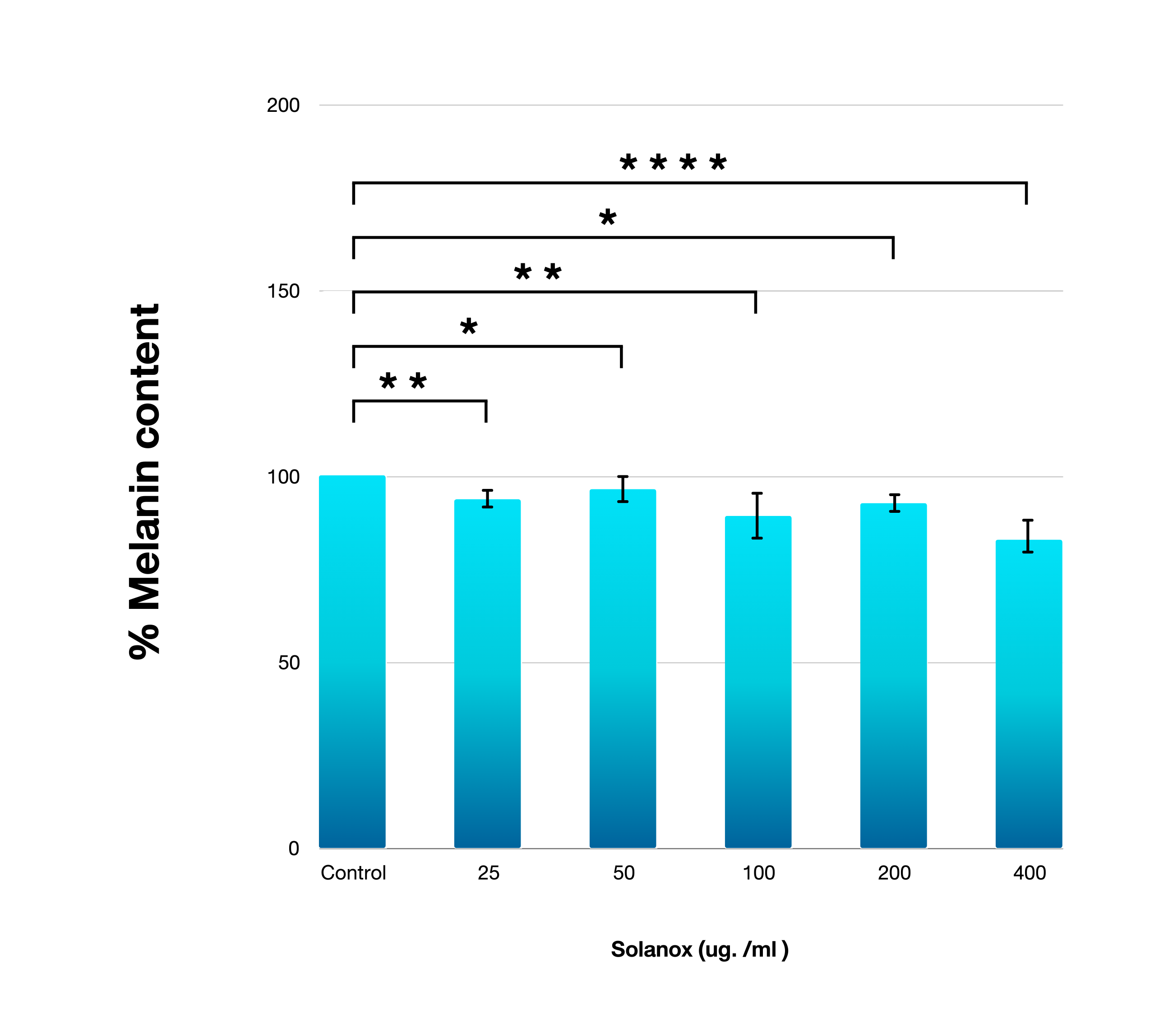
- ทดสอบฤทธิ์การยับยั้งการสร้างเม็ดสีเมลานินในเซลล์ ให้ผลยับยั้งการสร้างเม็ดสีเมลานินได้ดีกว่าสารมาตรฐาน Kojic acid ในขณะที่ใช้ปริมาณน้อยกว่าเพียงครึ่งหนึ่งเท่านั้น หมายความว่า SOLANOX สามารถช่วยแก้ปัญหา ฝ้า กระ จุดด่างดำ จากภายในได้จริง
- ทดสอบการต้านอนุมูลอิสระ ลดการเกิดอนุมูลอิสระได้ดีกว่าเซลล์ที่ไม่ได้รับ SOLANOX อย่างมีนัยสำคัญทางสถิติ ทำให้มั่นใจได้ว่า สารอาหารที่เราได้รับจาก SOLANOX ช่วยลดปริมาณอนุมูลอิสระที่อยู่ในร่างกายของเรา ชะลอความเสื่อมของเซลล์ และลดโอกาสการเกิดโรคที่มาจากอนุมูลอิสระในอนาคตได้ดี
- ทดสอบฤทธิ์การป้องกันเซลล์จากรังสี UVA/UVB ลดการเกิดอนุมูลอิสระที่เกิดจากการฉายรังสี UVA/UVB ได้ดีกว่าเซลล์ที่ไม่ได้รับ SOLANOX อย่างมีนัยสำคัญทางสถิติ ทำให้ผิวแข็งแรงมากยิ่งขึ้น ลดการทำร้ายผิวที่เกิดจากรังสี UVA/UVB ที่มีผลให้ผิวคล้ำ ดำ แดง และเกิดริ้วรอยได้
- ทดสอบความเป็นพิษต่อเซลล์ การทาน SOLANOX ในปริมาณที่แนะนำ 2 แคปซูลต่อวัน ไม่มีผลความเป็นพิษต่อเซลล์แต่อย่างใด แสดงถึงความปลอดภัยในการทาน SOLANOX ที่ผู้บริโภคสามารถมั่นใจได้ในการทานระยะยาว
- ทดสอบการกระตุ้นการเจริญเติบโตของเซลล์ เซลล์ที่ได้รับ SOLANOX สามารถเจริญเติบโตได้เป็นอย่างดี เมื่อเทียบกับเซลล์ที่ไม่ได้รับ เป็นการฟื้นฟูเซลล์ ฟื้นฟูร่างกายให้กลับมามีพลังงานในการใช้ชีวิตประจำวันมากยิ่งขึ้น ลดอาการอ่อนล้าอ่อนเพลีย ทำให้พร้อมสำหรับการทำงานในทุก ๆ วัน ซึ่งผลทดสอบทั้ง 5 เรื่อง ให้ค่าที่ดีอย่างมีนัยสำคัญทางสถิติ บ่งบอกได้ว่า “ผลิตภัณฑ์เสริมอาหาร SOLANOX ออกฤทธิ์ช่วยต่อต้านอนุมูลอิสระได้อย่างมีประสิทธิภาพ มีมาตรฐานระดับสากล ปลอดภัย และเห็นผลจริง”
ไม่เพียงแต่ผลงานวิจัยทางวิชาการหรือการทดสอบด้วยเครื่องวัดผลที่มีตัวเลขน่าพึงพอใจกับการรวมสูตรในครั้งนี้ แต่ความพึงพอใจของลูกค้าที่ได้ทดลองทานก็เป็นผลสำเร็จสูงสุดที่ทาง Y8 ได้รับเช่นเดียวกัน ลูกค้าถึง 98% กลับมาสั่งซื้อซ้ำ เพราะไม่เพียงแต่เห็นผลลัพธ์บนความปลอดภัยเรื่องผิวได้จริง แต่ลูกค้ารู้สึกถึงการดูแลสุขภาพที่ดีระยะยาวในรูปแบบใหม่ ที่ตอบโจทย์กับชีวิตเป็นอย่างมาก
ทำให้ Y8 ตระหนักเพิ่มขึ้นว่า การลงทุนพัฒนาสินค้าให้ดี ไม่เพียงแต่ตอบโจทย์ทางธุรกิจเท่านั้น แต่ผู้คนที่มีสุขภาพผิวและสุขภาพกายที่ดีขึ้นจากผลิตภัณฑ์ของเรานั้น ก็ถือว่าสินค้าประสบความสำเร็จด้วยเช่นกัน
ติดตามผ่าน TikTok ได้ที่ : https://www.tiktok.com/@thebusinessplus
Line Business+ : https://lin.ee/pbIHCuS
IG : https://www.instagram.com/businessplus.newgen2021/
#TheBusinessPlus #Businessplus #BusinessPlus #นิตยสารBusinessplus
The Business Plus บิสิเนสพลัส

